17008-20-7
2,4-DICHLORFENOXYOCTAN 1-FENYL-2,2-DIMETHYL-4,6-DIAMINO-1,2-DIHYDRO-1, 3,5-TRIAZINU [CZECH]
Name2,4-DICHLORFENOXYOCTAN 1-FENYL-2,2-DIMETHYL-4,6-DIAMINO-1,2-DIHYDRO-1, 3,5-TRIAZINU [CZECH]
FormulaC11 H15 N5 . C8 H6 Cl2 O3
1Identification
【Name】
2,4-DICHLORFENOXYOCTAN 1-FENYL-2,2-DIMETHYL-4,6-DIAMINO-1,2-DIHYDRO-1, 3,5-TRIAZINU [CZECH]
【CAS】
【MDL】
MFCD01678980
【English Synonyms】
【Formula】
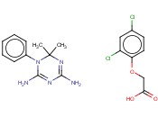
C11 H15 N5 . C8 H6 Cl2 O3
【MolWeight】
438.313
【Inchi】
InChI=1S/C11H15N5.C8H6Cl2O3/c1-11(2)15-9(12)14-10(13)16(11)8-6-4-3-5-7-8;9-5-1-2-7(6(10)3-5)13-4-8(11)12/h3-7H,1-2H3,(H4,12,13,14,15);1-3H,4H2,(H,11,12)
【InChIKey】
InChIKey=SMLFZLUTBKZEOY-UHFFFAOYSA-N
【SMILES】
CC1(N=C(N=C(N1c2ccccc2)N)N)C.c1cc(c(cc1Cl)Cl)OCC(=O)O
【MOL File】
2,4-DICHLORFENOXYOCT….mol
2Chemical and Physical Properties
【Computed Properties】
H bond donor:1
H bond acceptor:3
XLogP3:0.0
Bulk/Fine:F
3Material Safety Data Sheet(MSDS)
4CML File
2,4-DICHLORFENOXYOCTAN 1-FENYL-2,2-DIMETHYL-4,6-DIAMINO-1,2-DIHYDRO-1, 3,5-TRIAZINU [CZECH].cml